التركيب الضوئي
تعتمد النباتات اليخضورية في تغذيتها على النسغ الكامل الذي يحتوي على مواد عضوية ناتجة من عملية التركيب الضوئي.
كيف نثبت أن النبات اليخضوري يركب المادة العضوية أثناء التركيب الضوئي؟
- توفير شروط التركيب الضوئي .
- نزود النبات الاخضر بالمواد المعدنية و نعرضه للضوء.
تنجز التجربة حسب الوثيقة 1
حلل و فسر نتائج التجربة و ماذا تستنتج ؟
التحليل:
تلون أجزاء الورقة المعرضة للضوء باللون الأزرق البنفسجي القاتم و عدم تلون الجزء المغطى بالغطاء الأسود
التفسير:
- تلون أجزاء الورقة المعرضة للضوء بالأزرق البنفسجي يدل على وجود النشاء.
- عدم تلون الجزء المغطى بالغطاء الأسود يدل على عدم وجود النشاء.
نتيجة:
تركب النباتات الخضراء النشاء في وجود الضوء.
نحضر أغصان من نبات الايلوديا المائية ونقسمها إلى ثلاث مجموعات،حيث نضع كل واحدة منها في شروط تجريبية خاصة، ثم نكشف عن النشاء في أوراق الأغصان الثلاث بعد مرور ساعتين من بداية التجربة.
فسر نتائج الكشف و ماذاتستنتج؟
- عدم تشكل النشا في أوراق المجموعة الأولى راجع لعدم وجود الشوارد المعدنية في الوسط.
- عدم تشكل النشا في أوراق المجموعة الثالثة راجع لعدم وجود الضوء في الوسط.
نتيجة :
تشترط عملية التركيب الضوئي للماء العضوية وجود :
الماء , الأملاح المعدنية , الضوء.
تنجز التجربة حسب دليل الإنجاز العلمي الموضح الموالي:
الإنجاز العلمي :
استخلاص النسغ الكامل
- اضغط بهدوء معلاق طري لورقة نبات الكوسى COURGETTE
- اسحب بواسطة ماصة السائل الذي يخرج منها (عصير الكوسى) (4).
تحضير المذيب من:
60% (ميثيل-ايثيل-كتون) (بوتانون), 20% حمض الخل, 20% ميثانول.
تحضير الكاشف: امزج المكونين في آخر لحظة
- حجم من برمغنات البوتاسيوم 2%
- حجم من كربونات الصوديوم اللامائية 4%
تحضير المحاليل:
- حضر محاليل من الساكاروز (1) والغلوكوز(2) والفركتوز(3) بتركيز 20غ/ل
تحضير وسط الفصل:
- حضر ورقة الكروماتوغرافيا (ورقة واتمان رقم 1)أو صفيحة زجاجية مغطاة بالسليكاجلSELICA GEL
- أرسم خط البداية بقلم الرصاص على بعد 3سم من الحافة السفلية للورقة.
- ضع قطرة من كل محلول (المستخلص و المحاليل السكرية) على خط البداية ثم جففها بمجفف هوائي (كرر العملية 3مرات)
- ادخل الورقة في الوعاء الذي يحتوي على المذيب و الموجود على ارتفاع 2سم. ثم غط الوعاء بإحكام و اترك المذيب يهاجر لمدة ساعة
- أخرج الورقة ثم جففها إلى غاية زوال رائحة حمض الخل
- أغمر الورقة في الكاشف مدة 10ثوان ثم جفف من جديد
تقنية تستعمل لفصل مكونات خليط ما و يعتمد هذا الفصل على الوزن الجزيئي للمكونات الكيميائية لهذا الخليط فالمواد الصغيرة الوزن تنتقل بسرعة على ورقة الكروماتوغرافيا أما المواد الكبيرة الحجم تنتقل ببطء و إذا كانت مادتين تنتقلان بنفس السرعة فهذا يعني أنهما من نفس التركيب الكيميائي.
- نضع قطرة من محاليل سكرية : 1- السكروز 2- الغلوكوز 3- الفركتوز على ورقة الكروماتوغرافيا، حيث تكون هذه المحاليل على نفس الاستقامة.
- نضع قطرة من محلول مستخلص من معلاق طري لورقة نبات الكوسى (4) بجانب المحاليل و نتركها تهاجر لمدة ساعة.
يكون المحلول المستخلص على نفس المسافة من المحلول 1 أي السكروز
السكر الذي تم الكشف عليه والموجود في النسغ الكامل هو السكروز.
يركب النبات اليخضوري المعرض للضوء سكر بسيط هو الغلوكوز انطلاقا من
- ماذا تستنتج من المعادلة ؟
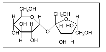
- تمعن جيدا في البنية الفراغية للسكروز. ماذا تستنتج ؟
- يدخل والممتصان من طرف المادة العضوية جلوكوز
- السكروز سكر ثنائي نتائج عن ارتباط سكرين بسيطين سداسيين
تقوم النباتات الخضراء بعملية التركيب الضوئي حيث تحول المواد المعدنية المستمدة من وسطها المعيشي إلى مادة عضوية :
جلوكوز (بسيط ) بتكثيف سكروز (ثنائي) و نشاء (معقد)
ينتقل جلوكوز و السكروز إلى أعضاء النمو و الإدخار
- إختبارات
- 16
- الأجوبة الصحيحة
- False
- الأجوبة الخاطئة
- False
- مجموع النقاط
- False
المراتب الخمس الأولى في Quiz
- hamid MORSLI
- 312 نقطة
-
- naruto ozomaki
- 257 نقطة
-
- Fatima-zahra Ben miloud
- 240 نقطة
-
- zahida herkat
- 220 نقطة
-
- Syrine Mez
- 220 نقطة
-
- هاجر مفتاح
- 220 نقطة
-
- manar askiou
- 220 نقطة
-
- red man
- 215 نقطة
-
- houssine barkate
- 200 نقطة
-
- fares bakiri
- 200 نقطة
-





