المتتاليات العددية
نسمي متتالية عددية كل دالة
نرمز إلى العدد
نرمز إلى المتتالية
الدالة
حدها العام هو
و حدها الأول هو
بالتعويض في قانون الحد العام سنجد
في هذا دليل الحد ليس رتبة الحد
الحد التاسع لهذه المتتالية ليس
المثال الثاني
الدالة
تعتبر متتالية عددية سنرمز إليها ب الرمز:
حدها العام هو
بالتعويض في قانون الحد العام سنجد
في هذا المثال الدليل هو رتبة الحد
و منه الحد التاسع لهذه المتتالية هو
نجد
لتكن الدالة
لكي تكون الدالة
حدها العام هو
بالتعويض في قانون الحد العام سنجد
الحد التاسع هو
يمكن إن نجد قيمة حدود المتتالية باستعمال حدها العام و لإيجاد الحد
: وفي هذه الحالة يمكن التعبير عن الحد العام
يمكن تعريف المتتالية بإعطاء حدها الأول
في هذه الحالة نقول أن المتتالية العددية متتالية تراجعية و نسمي الدالة fالدالة المرفقة بالمتتالية
لتكن المتتالية
العلاقة التراجعية
إذا عرفنا قيمة
بما أننا نعرف قيمة
بما أن
بما أن
نواصل بهذه الكيفية وسنجد كل حدود هذه المتتالية
لإيجاد الحد العشرون
معناه لكي نجد الحد
هذا العمل شاق و يتطلب وقت و لهذا أحسن طريقة لتوليد متتالية عددية هي التوليد بالحد العام
الدالة المرفقة بالمتتالية
إذا عرفت المتتالية
التمثيل البياني للمتتالية
● إذا عرفت المتتالية
مثال : التمثيل البياني للمتتالية
و من أجل كل عدد طبيعي
بالحاسبة نجد :
منه :
بينما الدالة المرفقة للمتتالية
●
●
●
المثال الأول
منه من أجل كل عدد طبيعي
المثال الثاني :
و بما أن
منه المتتالية
و
و منه المتتالية ليست رتيبة
---------------------------------------------------------------------
و نقول أن
●
طبيعي
●إ
طبيعي
●
طبيعي
بعض المتتاليات ليس لها نهاية لما
المتتالية
نقول أن:
● المتتالية
● المتتالية
أو
● إذا كانت
● إذا كانت
● إذا كانت
1) لتكن
الدالة
منه
2 ) لتكن
الدالة
لأن
منه
1)
نلاحظ أن
نعلم أن من أجل كل عدد حقيقي
منه
و بما أن
2)
لما
نعلم أن من أجل كل عدد حقيقي
و بما أن
منه
(
( من أجل كل عدد طبيعي
1) المتتالية
منه من أجل كل عدد طبيعي
2) المتتالية
● ( المتتالية الحسابية التي أساسها
كان
● ( المتتالية الحسابية التي أساسها
كان
● ( المتتالية الحسابية التي أساسها
● إذا كانت
● إذا كانت
● إذا كانت
إذا كانت
● إذا كان
● إذا كان
● إذا كان
و منه المتتالية الحسابية
● إذا كانت
● إذا كانت
-----------------------------------------------------------
نلاحظ أن في كل مرة المجموع
(
و نسميا
● إذا (
لدينا
لدينا
من (1) و (2) نستنتج أن
● إذا كان
نضع
(
( من أجل كل عدد طبيعي
1)
- متتالية هندسية لأن:
منه
2) المتتالية
● إذا كانت
● إذا كانت متتالية هندسية
● إذا كانت متتالية هندسية
● إذا كان
● إذا كان
● إذا كان
نحسب نهاية الحد العام للمتتالية الهندسية ثم نحكم عن تقرب أو تباعد هذه المتتالية
● إذا كانت
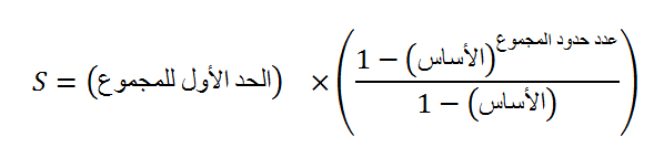
المجموع
- لما
- لما :
● إذا كانت
متتالية هندسية حدها الأول
المجموع
- لما
- لما :
نلاحظ أن المجموع
- لما

(
و نسمي
1) إذا كانت (
لدينا
لدينا
من (1) و (2) نستنتج أن
2) إذا كان
و منه (
- إختبارات
- 20
- الأجوبة الصحيحة
- False
- الأجوبة الخاطئة
- False
- مجموع النقاط
- False
المراتب الخمس الأولى في Quiz
- MALAK DASS AMIOUR
- 220 نقطة
-
- THIZIRI HMD
- 200 نقطة
-
- عبدالله فاسي
- 177 نقطة
-
- riad bendellali
- 177 نقطة
-
- Ze Ouafa
- 157 نقطة
-
- rania bechani
- 140 نقطة
-
- هاني سرير
- 138 نقطة
-
- youyou sell
- 133 نقطة
-
- ss ja
- 132 نقطة
-
- Sra Yøu
- 132 نقطة
-





